Насосы консольные типа К, 1К, 2К

Назначение

Насосы центробежные консольные типа 1К и агрегаты на их основе, предназначенные для перекачивания технической воды (кроме морской), а также других жидкостей сходных с водой по плотности, вязкости, химической активности с температурой -10 до +105 о С (для насоcов 1К50,1К65 до +85 о С), Р = 6...9, с содержанием твердых включений, не более 1% по массе, размером не более 0,2 мм. Насосы (агрегаты) 1К выпускаются в климатическом исполнении У3.1 и Т2 ГОСТ 15150-69. 

Подробное руководство 1К

Подробное руководство К

Подробное руководство 2К

 Применение

  • для перекачивания чистой (холодной/горячей) воды в системах водоснабжения структур ЖКХ , муниципальных водоканалов
  • для обеспечения дополнительной циркуляции в системах водо- и теплоснабжения жилых и хозяйственных объектов
  • в системах подачи технической воды, для обеспечения технологических процессов промышленных предприятий включая нефтеперерабатывающие и металлургические отрасли
  • для обеспечения водой садоводческих и дачных посёлков
  • в системах пожаротушения жилых и гражданских объектов
  • на объектах теплоэнергетики – ТЭС, АЭС, для обеспечения работы основных и вспомогательных систем станций связанных с использованием чистой и технической воды

 

Сводная таблица технических характеристик центробежных насосов типов К.

Марка агрегата

Подача, м3/ч

 Напор, м 

 Двигатель, 

кВт/об.мин

Габаритные размеры насоса

Габаритные размеры агрегата

К 8/18

8

18

2,2/3000

Чертеж насоса

Размеры насоса

Чертеж агрегата

Размеры агрегата

Размеры фланцев

К 8/18а

8

18

1,5/3000

К 20/30м

25

32

5,5/3000

Чертеж насоса

Размеры насоса

Чертеж агрегата

Размеры агрегата

Размеры фланцев

К 20/30

20

30

5,5/3000

К 20/30а

20

26

4/3000

К45/30

45

32

7,5/3000

Чертеж насоса

Размеры насоса

Чертеж агрегата

Размеры агрегата

Размеры фланцев

К45/30а

35

25

5,5/3000

1К 50-32-125

12,5

21

2,2/3000

 Чертеж насоса

Размеры насоса1

Размеры насоса2

Чертеж агрегата

Размеры агрегата

1К 50-32-125а

12,5

18

1,5/3000

1К 65-50-160

25

32

5,5/3000

Чертеж насоса

Размеры насоса1

Размеры насоса2

Чертеж агрегата

Размеры агрегата

1К 65-50-160а

19

31

4/3000

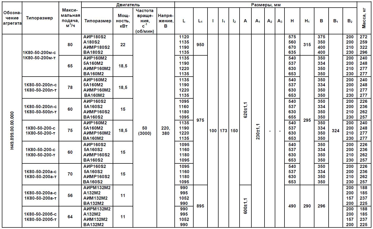
1К 80-50-200

50

50

15/3000

Чертеж насоса

Размеры насоса1

Размеры насоса2

Чертеж агрегата

Размеры агрегата

1К 80-50-200а

45

45

11/3000

1К 80-65-160

50

32

7,5/3000

Чертеж насоса

Размеры насоса1

Размеры насоса2

Чертеж агрегата

Размеры агрегата

1К 80-65-160а

45

30

7,5/3000

1К 100-65-200

100

50

30/3000

Чертеж насоса

Размеры насоса1

Размеры насоса2

Чертеж агрегата

Размеры агрегата

1К 100-65-200

90

45

22/3000

1К 100-65-200а

90

40

18,5/3000

1К 100-65-250

100

80

45/3000

Чертеж насоса

Размеры насоса1

Размеры насоса2

Чертеж агрегата

Размеры агрегата

1К 100-65-250а

80

70

37/3000

1К 100-80-160

100

32

15/3000

Чертеж насоса

Размеры насоса1

Размеры насоса2

Чертеж агрегата

Размеры агрегата

1К 100-80-160а

90

28

15/3000

1К 100-80-160б

90

25

11/3000

1К 150-125-315

200

32

30/1500

Чертеж насоса

Размеры насоса1

Размеры насоса2

Чертеж агрегата

Размеры агрегата

1К 150-125-315а

200

26

30/1500

1К 150-125-250

200

20

18,5/1500

 

 

 

 

 

 

1К 150-125-250

200

20

15/1500

1К 150-125-250а

180

16

11/1500

К 160/30

160

30

30/1500

Чертеж насоса

Размеры насоса

Чертеж агрегата

Размеры агрегата

Размеры фланцев

К 160/30а

140

28,6

22/1500

К 290/30

290

30

37/1500

Чертеж насоса

Размеры насоса

Чертеж агрегата

Размеры агрегата

Размеры фланцев

К 290/30а

250

24

30/1500

2К 80-65-160

50

32

7,5/3000

Чертеж насоса

Размеры насоса

Чертеж агрегата

Размеры агрегата

2К 100-80-160

100

32

15/3000